• Предмет: Алгебра
  • Автор: rtutmasyer
  • Вопрос задан 2 года назад

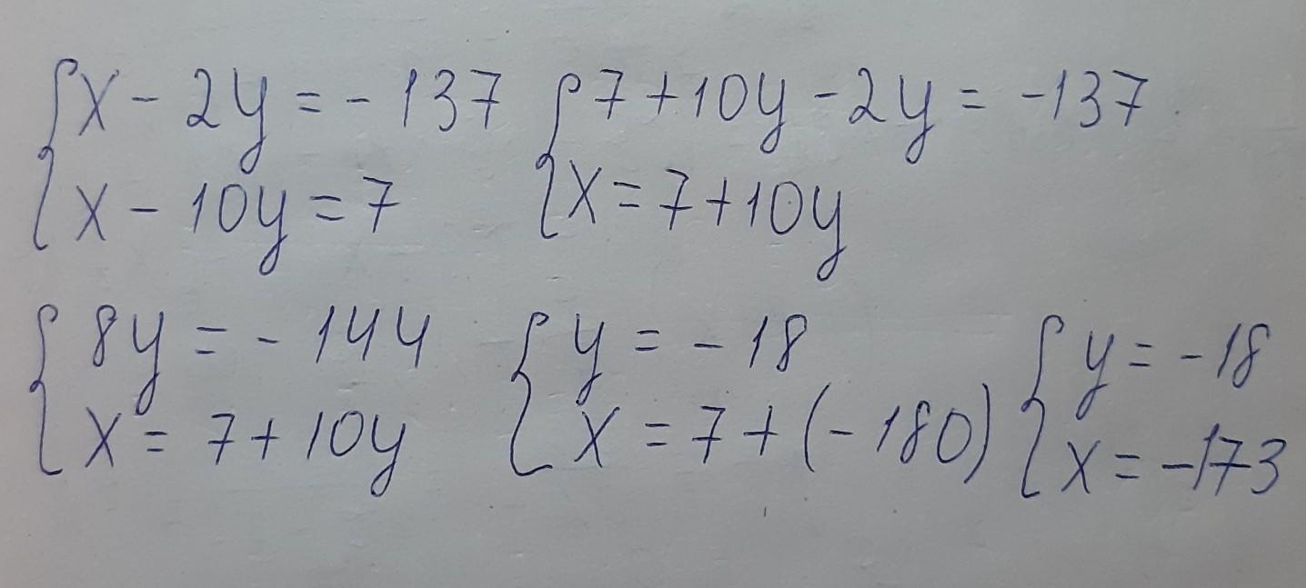
Реши систему уравнений методом подстановки:
{x−2y=−137x−10y=7

Ответ: (
;
).

Ответы

Ответ дал: sablinanastya
1

( -173; -18), мы выражаем одну переменную через другую, а потом подставляем в следующее уравнение и решаем...

Приложения:
Вас заинтересует