• Предмет: Математика
  • Автор: mrromai2015
  • Вопрос задан 2 года назад

Помагите выделить целую часть

Приложения:

YaraBr: Це ділення?

Ответы

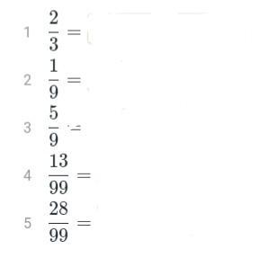
Ответ дал: YaraBr
0

Ответ:

1.- 0,6

2.- 0,1

3.- 0,5

4. - 0,1

5.- 0, 2;

надіюсь я тобі допомогла.)

Вас заинтересует