• Предмет: Математика
  • Автор: olesyakolomats
  • Вопрос задан 2 года назад

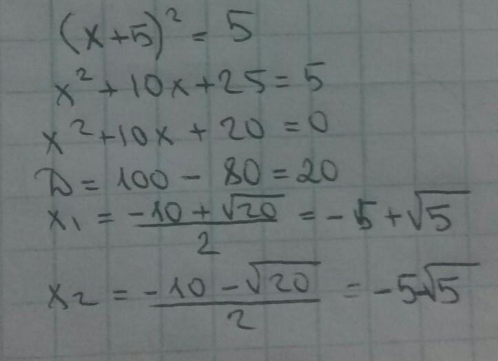
решить уравнение (x+5)^2=5


mankovchel15: ^ это умножить или степень?
mankovchel15: прошу быстрее
olesyakolomats: степень

Ответы

Ответ дал: eleonaise
0

(x+5)^2=5\\x+5=+-\sqrt{5}\\x+5=-\sqrt{5} -->x=-\sqrt{5}-5\\x+5=\sqrt{5}-->x=\sqrt{5}-5\\\\x_{1} =-\sqrt{5}-5   \;\;\;\;\; x_{2} =\sqrt{5}-5

Ответ дал: alina92094
0

Ответ:

Решение на фотографии

Приложения:

eleonaise: Возможность всех случаев круче ))
Вас заинтересует