• Предмет: Математика
  • Автор: gorodnicevadasha26
  • Вопрос задан 2 года назад

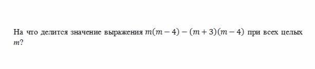
Помогите пожалуйста!!! Только ответ

Приложения:

Ответы

Ответ дал: вейлика
0

Ответ:

1, 3, -3

Пошаговое объяснение:

Вас заинтересует