Ответы
Ответ дал:
1
Ответ:
№2
Пошаговое объяснение:
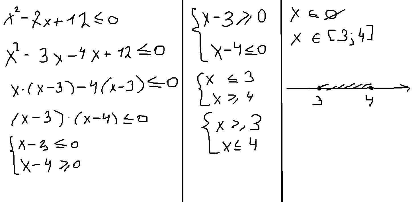
Решение в файле
Приложения:

Вас заинтересует
1 год назад
1 год назад
1 год назад
1 год назад
3 года назад
3 года назад
8 лет назад