• Предмет: Алгебра
  • Автор: kira3117
  • Вопрос задан 2 года назад

Помогите пожалуйста! С решением плииз!

Приложения:

Ответы

Ответ дал: Gok5556
0

Ответ:

Объяснение:

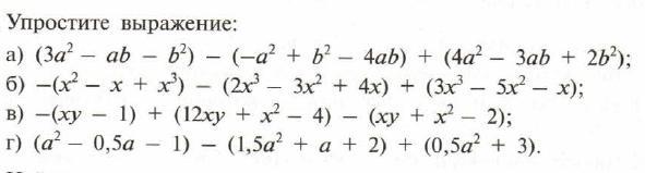
A)3a^2-ab-b^2-a^2-b^2+4ab+4a^2-3ab+2b^2=5a^2-6ab

B)-x^2x-x^3-2x^3+3x^2-4x+3x^3-5x^2-x=3x^2-4x

C)-xy+1+12xy+x^2-4-xy-x^2+2=10xy-1

D)a^2-0.5a-1-1.5a^2-a-2+0.5a^2+3= -1.5a

Вас заинтересует