Помогите пожалуйста решить
Приложения:

valeriya2006600:
по формуле можно решить и расписать: (a+b) *(a-b)
Ответы
Ответ дал:
1
Ответ:
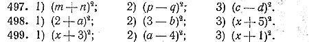
497 1) (m+n)²=m²+2mn+n²
2) (p-q)²=p²-2pq+q²
3) (c-d)²=c²-2cd+d²
498 1) (2+a)²=2²+2•2a+a²=4+4a+a²
2) (3-b)²=3²-2•3b+b²=9-6b+b²
3) (x+5)=x²+2x•5+5²=x²+10x+25
499 1) (x+3)²=x²+2x•3+3²=x²+6x+9
2) (a-4)²=a²-2a•4+4²=a²-8a+16
3) (x+1)²=x²+2x•1+1²=x²+2x+1
Объяснение:
формулы сокращённого умножения
(a+b)²=a²+2ab+b²
(a-b)²=a²-2ab+b²
Вас заинтересует
1 год назад
1 год назад
1 год назад
3 года назад
3 года назад
8 лет назад