• Предмет: Алгебра
  • Автор: ilag2
  • Вопрос задан 2 года назад

Пмгте плз!!!!!!!!!!!!! ​(2,3 не надо)

Приложения:

Ответы

Ответ дал: Way2005
0

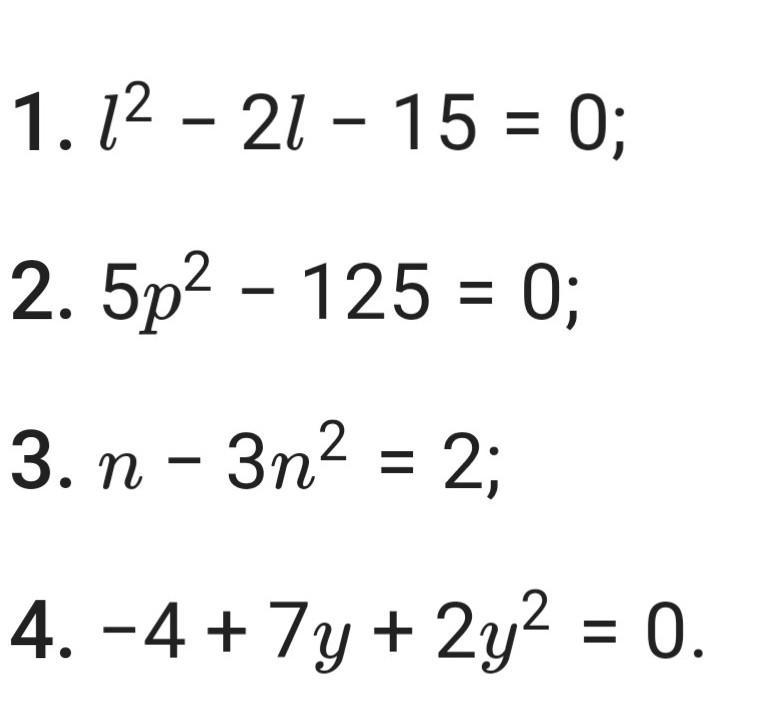
l(2) - 2l- 15 =0

Д= b (2) - 4ac

Д= 4-4*(-15)= 4+4*15= 64 (8)

l (1) = 2-8 /2 = -6/2 = -3

l (2) = 2+8 /2 = 10/2=5

-4+7у+2у(2)=0

Д=49-4*2*(-4)=49+4*2*4=49+32=81 (9)

У (1)=-7-9/2=-16/2=-4

У (2)=-7+9/2=2/2=1

Вас заинтересует