• Предмет: Математика
  • Автор: golov4enkobog
  • Вопрос задан 2 года назад

Решите пожалуйста поэтапно СРОЧНО!!!!
Даю много баллов.

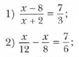
Приложения:

Ответы

Ответ дал: nupellot
1

Ответ:

1) -9,5

2) -28

Пошаговое объяснение:

1) Умножим и левую и правую часть на знаменатели и левой и правой частей для того, чтобы избавиться от дробей:

(x-8)3=7(x+2)

3x-24=7x+14

4x=-38

x=-9,5

2) Приведем левую часть к общему знаменателю:

(2x-3x)/24=7/6

2x-3x=7/6*24=28

-x=28

x=-28


golov4enkobog: Большое спасибо!
Вас заинтересует