• Предмет: Алгебра
  • Автор: ivandrovnin57
  • Вопрос задан 2 года назад

Реши уравнение:
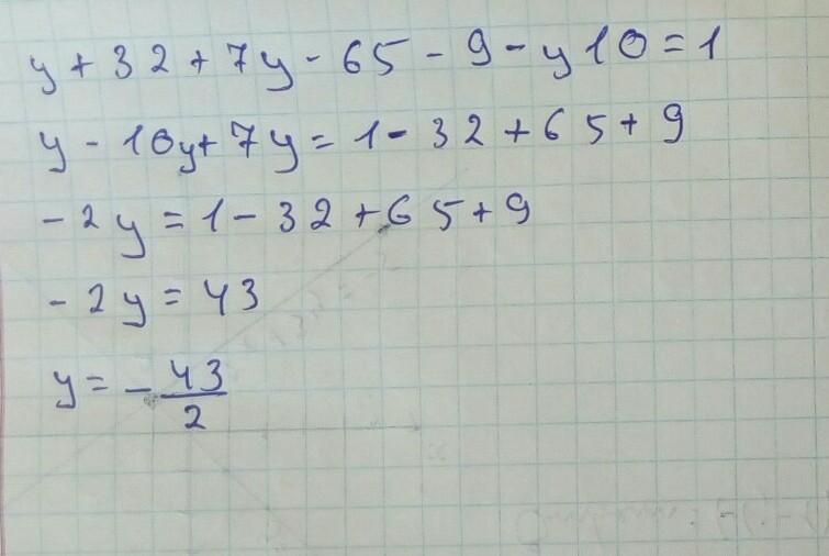
y+32+7y−65−9−y10=1.

Ответ (запиши десятичной дробью):
y=

Ответы

Ответ дал: neravon
0

y + 32 +7y - 65 - 9 - 10y =1

-2y = 43

y = -\frac{43}{2} = -21\frac{1}{2}

Ответ дал: darusya8525
1

Ответ:

у= -21,5

Объяснение:

я не уверена в правильности моего ответа, попросите перепроверить кого-нибудь

Приложения:
Вас заинтересует