Ответы
Ответ дал:
0
Ответ:
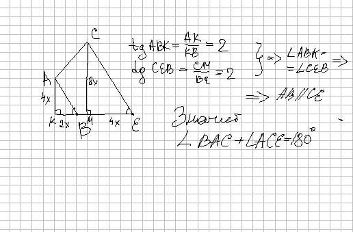
∠BAC и ∠ACE - внутренние
Объяснение:
на фото
Приложения:

sabi0000:
Огромное спасибо!
Вас заинтересует
1 год назад
1 год назад
1 год назад
3 года назад
3 года назад
8 лет назад