• Предмет: Алгебра
  • Автор: penkovskiykiri
  • Вопрос задан 2 года назад

Решите пожалуйста, буду благодарен.

Приложения:

Ответы

Ответ дал: luizaislamova04
0

Ответ:

ты в каком классе?)

Объяснение:

Ответ дал: dilyarazinnatullina1
0

Ответ:

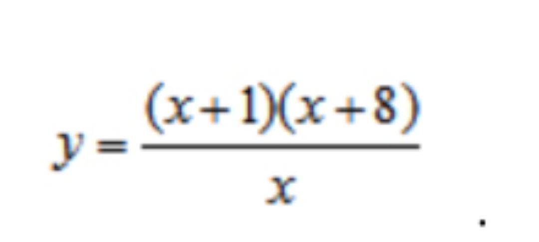
x₁ = (-1) , x₂ = (-8)

Объяснение:

y=\frac{(x+1)(x+8)}{x}

\frac{(x+1)(x+8)}{x}=0

ОДЗ: x≠0

(x+1)(x+8)=0

x+1=0x=-1  или  x+8=0x=-8

Вас заинтересует