Ответы
Ответ дал:
1
Ответ:
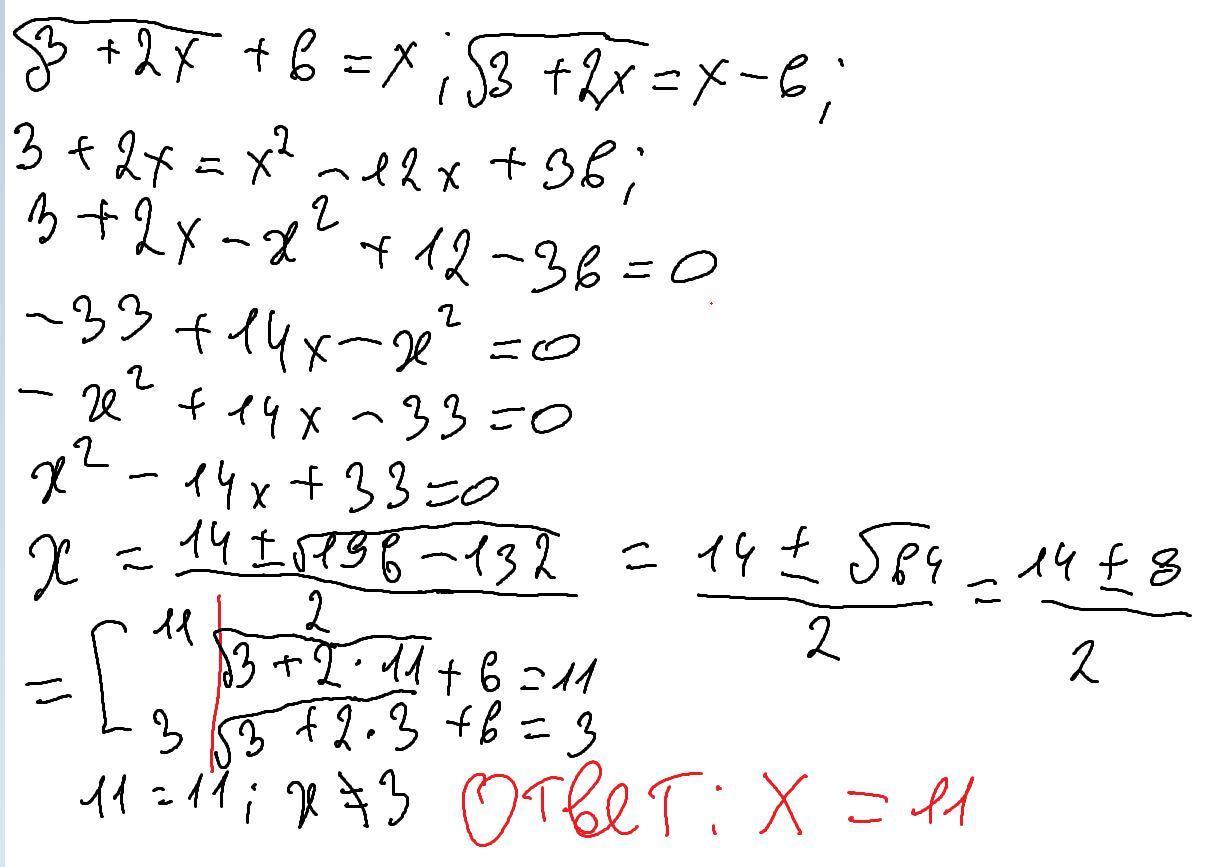
x = 11
Пошаговое объяснение:
надеюсь понятно
Приложения:

Ответ дал:
1
Ответ:
Пошаговое объяснение:
√(3+2х)=х-6.
3+2х=(х-6)².
х²-2*6х+36-2х-3.=0
х²-14х+33-0.
х₁₂=7±√(49-33)=7±4.
х₁=11.
х₂=3. этот корень не подходит.
Вас заинтересует
1 год назад
1 год назад
1 год назад
3 года назад
3 года назад