• Предмет: Математика
  • Автор: bomber1998
  • Вопрос задан 2 года назад

Мне нужна помощь с зачетном заданием. Нужно подробное решение.
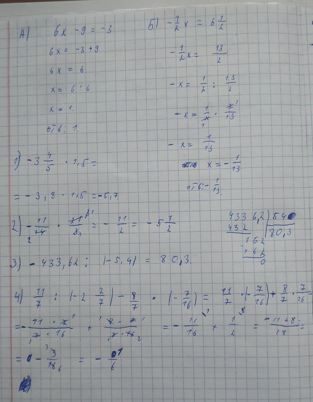
А)6х – 9=-3,
Б) -1/2x = 6 1/2
1) -3 4/5 * 1,5
2)-1 1/14 * 2 1/3
3)-433,62:(-5,4)
4)1 1/7 : (-2 2/7) -8/7 * (-7/16)
А)3/7 * (-0,54) - 1,56 * 3/7
Б) -5/9 * 0,87 + (-5/9) * 1,83
В)-0.77 * 4/9 - 4/9 * 2,83
Г) (-3,9 * 2,8+26,6) : (-3,2) -2,1

Ответы

Ответ дал: adilimanbaev06
2

Ответ:

всё на фото, что не понятно спрашивайте

Приложения:
Вас заинтересует