• Предмет: Алгебра
  • Автор: SoKrazy
  • Вопрос задан 8 лет назад

прошу вашей помощи ​

Приложения:

Ответы

Ответ дал: ggforyou228x
0

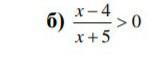
Нужно домножить каждую часть неравенства на х+5. В первой части оно сократится со знаменателем, а во второй при умножении на 0 останется 0, и получится: х-4>0.

Перенесём 4 вправо и получим:

х>4.

Удачи (:

Вас заинтересует