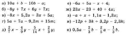
1) (3х-11)×0,2-5(0,4-0,3х)=?
2)1/6(18m-24n)-(5m+2m)=?
3)-3,5(3a-2b)+2(1,3a-b)=?
Эти 3 примера и то что внизу!
ПОЖАЛУЙСТА!!! СРОЧНО!!!
Даю 20 баллов))
Приложения:

Ответа на этот вопрос пока нет. Попробуйте найти его через форму поиска.
Вас заинтересует
2 года назад
3 года назад
3 года назад
8 лет назад
8 лет назад
9 лет назад