Найдите значение выражений:20 заданий.(если решите,буду ещё прибавлять баллы)
1. в этом номере знак деления обозначает дробь.
,где Y=25,K=169:4
2.в этом номере знак деления обозначает дробь.
, где k=0.25, n=0.81.
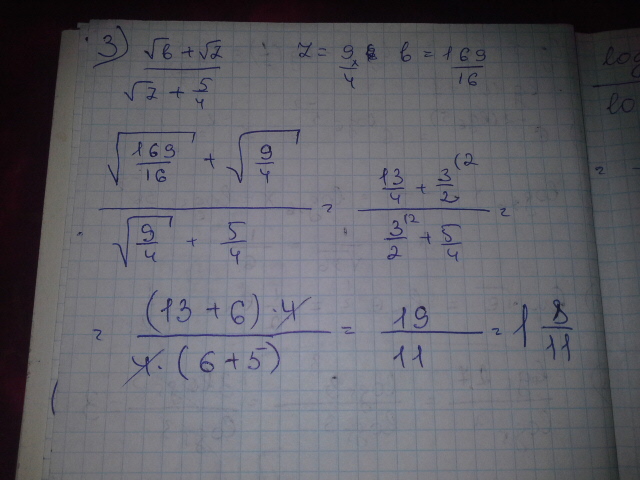
3.в этом номере знак деления обозначает дробь.
,где z=9:4, b=169:16
Ответы
Ответ дал:
0
Ответ смотри на листочке
Приложения:



Ответ дал:
0
ты здесь?
Ответ дал:
0
У меня немного дела появились их улажу и решу
Ответ дал:
0
а можешь в друзья добавить.я попробую кинуть фото
Вас заинтересует
2 года назад
2 года назад
8 лет назад
8 лет назад
10 лет назад
10 лет назад