• Предмет: Математика
  • Автор: anastasiailinova9
  • Вопрос задан 8 лет назад

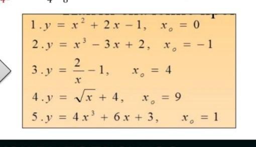
Даю 20 баллов Помогите срочно нужно решить, найти производные функции ​

Приложения:

Ответа на этот вопрос пока нет. Попробуйте найти его через форму поиска.

Вас заинтересует