решите уравнения(можно просто ответ)
даю 20 баллов
3х - 8 = х - 14
9х - 6 = 5 - 16х
3х + 4 = 19.
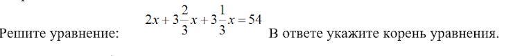
те,которые прикреплены внизу
0,5х + 0,6 = 1,5х - 0,4
- 9 -7х = 5.
5х - 3 = 3х + 5.
-2(3х + 4) = -10 - 8х
7х = 2х + 10.
1,7 х - 1,2 = 3,9.
-0.1(х - 0,5) = 0,2(3 - 5х)
Приложения:


Ответа на этот вопрос пока нет. Попробуйте найти его через форму поиска.
Вас заинтересует
2 года назад
2 года назад
3 года назад
3 года назад
8 лет назад
9 лет назад