• Предмет: Алгебра
  • Автор: ВальтерБуслаев
  • Вопрос задан 8 лет назад

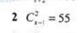
Решить, условие в фото, сверху 2, снизу x-1

Приложения:

Ответа на этот вопрос пока нет. Попробуйте найти его через форму поиска.

Вас заинтересует