Ответы
Ответ дал:
0
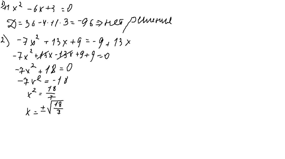
решение ниже приведено
Приложения:

Вас заинтересует
8 лет назад
10 лет назад
10 лет назад
10 лет назад