Ответы
Ответ дал:
0
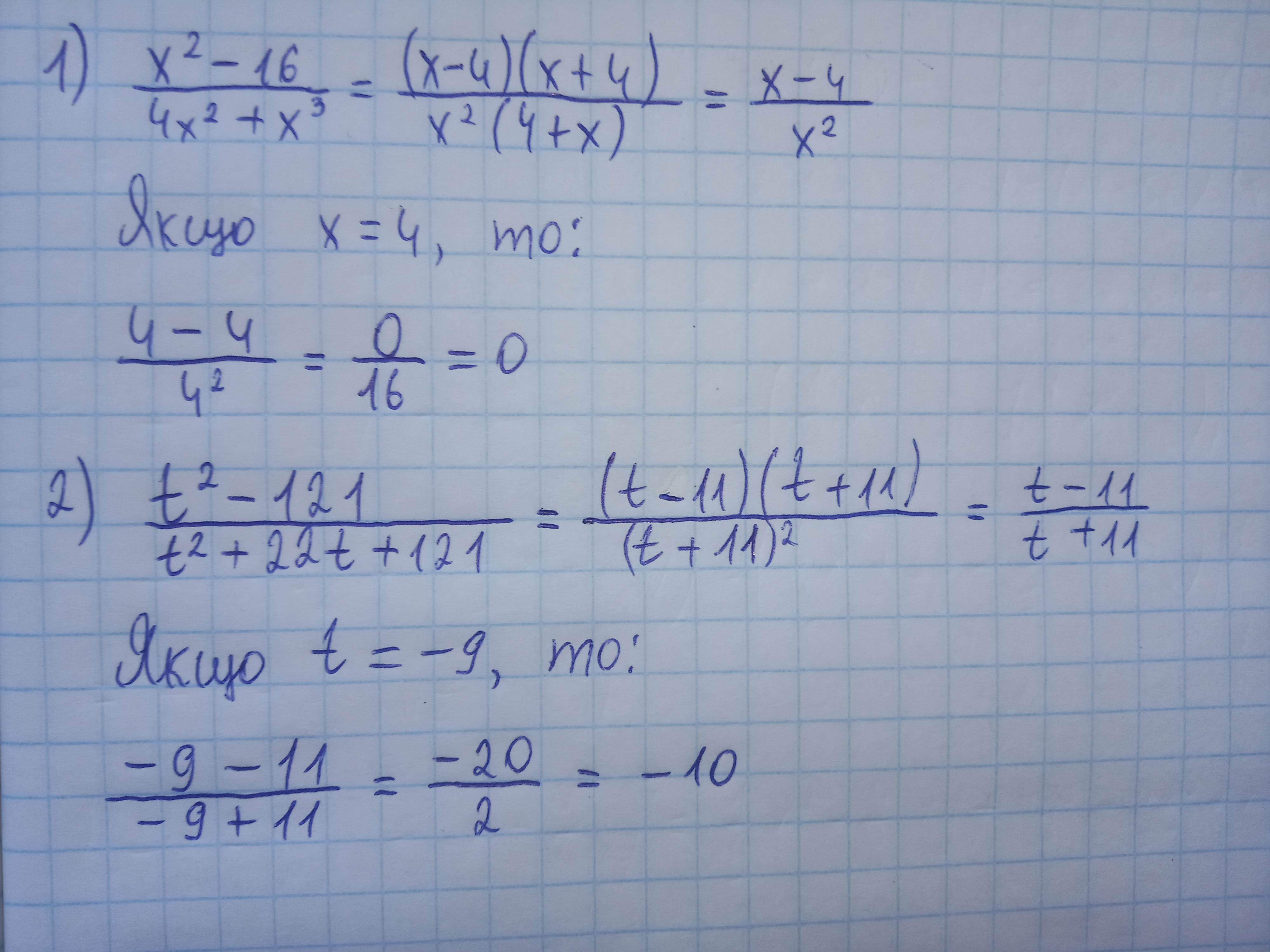
1.(х-4)*(х+4)/х^2*(4+х)
(4+х) сокращаем и получаем:
х-4/х^2
4-4/4^2=0
2.(t-11)*(t+11)/(t+11)^2
Сокращаем (t+11)
t-11/t+11
-9-11/-9+11
-20/2=-10
Ответ дал:
0
Ответ:
1) 0
2) -10
Объяснение:
Приложения:

Вас заинтересует
1 год назад
1 год назад
1 год назад
1 год назад
3 года назад