• Предмет: Математика
  • Автор: mashenkaprigoda
  • Вопрос задан 2 года назад

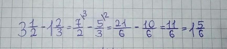
3 целых 1/2 - 1 целая 2/3 равно без умножение
5классс смешаные дроби


mashenkaprigoda: ришение желательно на фото

Ответы

Ответ дал: pandam0zg
0

Пошаговое решение на фото ⬆

Ответ:

1 \frac{5}{6}

Приложения:
Вас заинтересует