• Предмет: Алгебра
  • Автор: Аноним
  • Вопрос задан 2 года назад

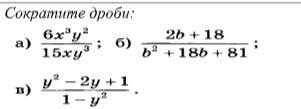
Я не буду разглагольствовать надо сократить три дроби

Приложения:

Ответы

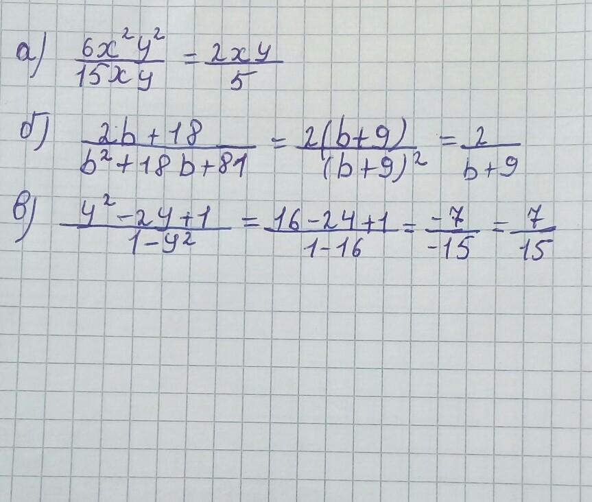
Ответ дал: jumashevamanzyra
1

Ответ:

так##################

Приложения:

Аноним: Спасибо
Вас заинтересует