• Предмет: Алгебра
  • Автор: trcvsk
  • Вопрос задан 2 года назад

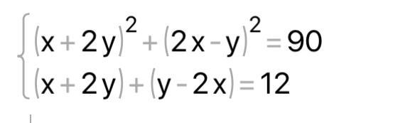
Решите систему уравнений введением новой переменной:

Приложения:

Ответы

Ответ дал: Evgenia4836
1

Ответ:

(0,6; 4,2), (-3;3)

Объяснение:

x+2y=a, 2x-y=b

a²+b²=90

a-b=12

a=12+b

b²+24b+144+b²=90

a=12+b

b²+12b+27=0

D= 144-108= 36

b1= (-12+6)/2= -3

b2= (-12-6)/2= -9

a1= 9

a2= 3

1) x+2y=9

2x-y=-3

2x+4y=18

2x-y=-3

5y=21

y= 4,2

x= 0,6

2) x+2y= 3

2x-y= -9

2x+4y=6

2x-y=-9

5y=15

y=3

x= -3


trcvsk: спасибо огромное
Вас заинтересует