• Предмет: Химия
  • Автор: zalizkonikita2
  • Вопрос задан 2 года назад

ДАЮ МНОГО ХИМИЯ ПОМОГИТЕ

Приложения:

zalizkonikita2: помоги пж
zalizkonikita2: помоги

Ответы

Ответ дал: minyazovbulat
1

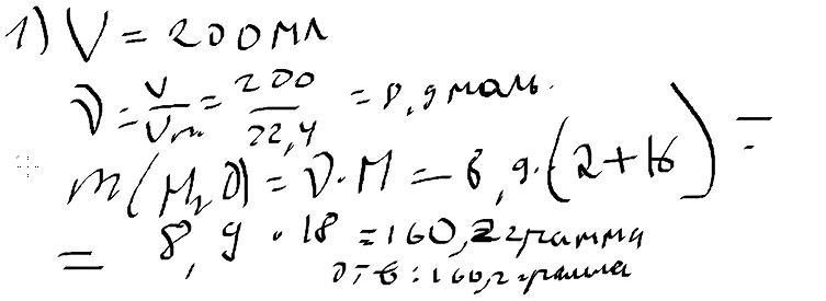
Ответ: на скрине номер 1

Объяснение:

Приложения:

zalizkonikita2: пасиб
Вас заинтересует