• Предмет: Алгебра
  • Автор: karinakarinamapehwwo
  • Вопрос задан 2 года назад

Помогите пожалуйста! ​

Приложения:

Ответы

Ответ дал: Evgenia4836
1

Ответ:

Объяснение:

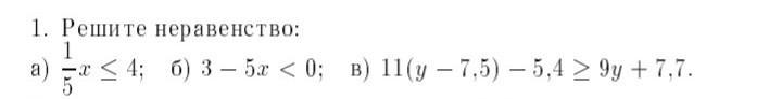
1) x≤20

x∈(-∞;20]

2) 3<5x

x>0,6

x∈(0,6;+∞)

3) 11y-82,5-5,4≥9y+7,7

11y-9y≥7,7+82,5+5,4

2y≥95,6

y≥47,8

y∈[47,8;+∞)


karinakarinamapehwwo: Огромное вам спасибо!
Ответ дал: Вика0903
1

Ответ:

а) х ≤ 4/  1/5

   х ≤ 4*5

   х ≤ 20

б) - 5х ≤ 0+3

   - 5x ≤ 3

     5x ≥ 3

      x ≥  3/5

в)  11y -82,5 - 5,4 ≥ 9у +7,7

     11у - 9у ≥ 7,7 +5,4 + 82,5

     2у ≥ 95.6

     у ≥ 47,8

В б просто больше, а потом меньше, просто такого знака нет

Вас заинтересует