Ответы
Ответ дал:
0
Ответ:
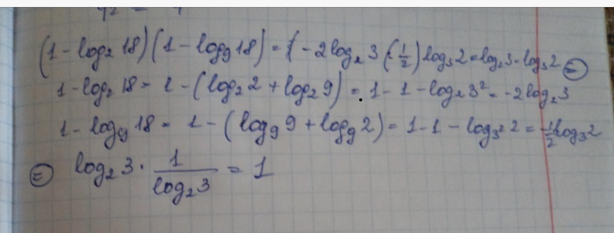
Воттт
Пошаговое объяснение:
Приложения:

Вас заинтересует
1 год назад
1 год назад
1 год назад
8 лет назад