Ответы
Ответ дал:
0
Это решение ☝️
Ответ:
190Н
Объяснение:
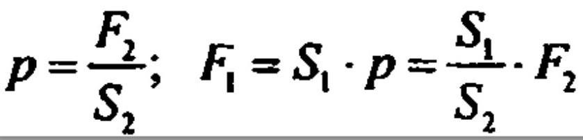
Дано:
S2=100
F2=19 kH
Найти:
F1-?
Решение:
F1=(S1/ 100•S1)•F2 = 19•10^3/100= 190 Н
думаю что все понятно, просто сдесь тяжело показать какие-то формулы. Надеюсь вы поймёте.
^ - это значит степень
/ - это дробная черта
Приложения:

Вас заинтересует
1 год назад
1 год назад
3 года назад
3 года назад