• Предмет: Алгебра
  • Автор: fsadwww
  • Вопрос задан 2 года назад

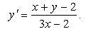
Помогите пожалуйста решить с решение

Приложения:

Ответы

Ответ дал: Miroslava227
0

Ответ:

решение на фотографии

Приложения:
Вас заинтересует