• Предмет: Математика
  • Автор: Crosaut220
  • Вопрос задан 2 года назад

Помагите пожалуйста даю 156 балов!!!!

Приложения:

Ответы

Ответ дал: Аноним
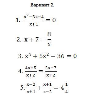
1

Ответ:

Пошаговое объяснение:

х+1≠0.  х≠-1.

х²-3х-4=0.

х₁₂=  {3±√(9+4*4)}/2

х₁=(3+5)/2=4.

х₂=(3-5)/2=-1.  (этот корень не подходит)

КОРЕНЬ УРАВНЕНИЯ: Х=4.

Второе уравнение.

Ответ:  х₁=- 1 ; х=- 8. х≠0


Crosaut220: как это понять? :)
Аноним: что понять?
Аноним: конкретнее напиши
Аноним: тебе не понятно решение?
Вас заинтересует