• Предмет: Математика
  • Автор: naurbievayasmina
  • Вопрос задан 2 года назад

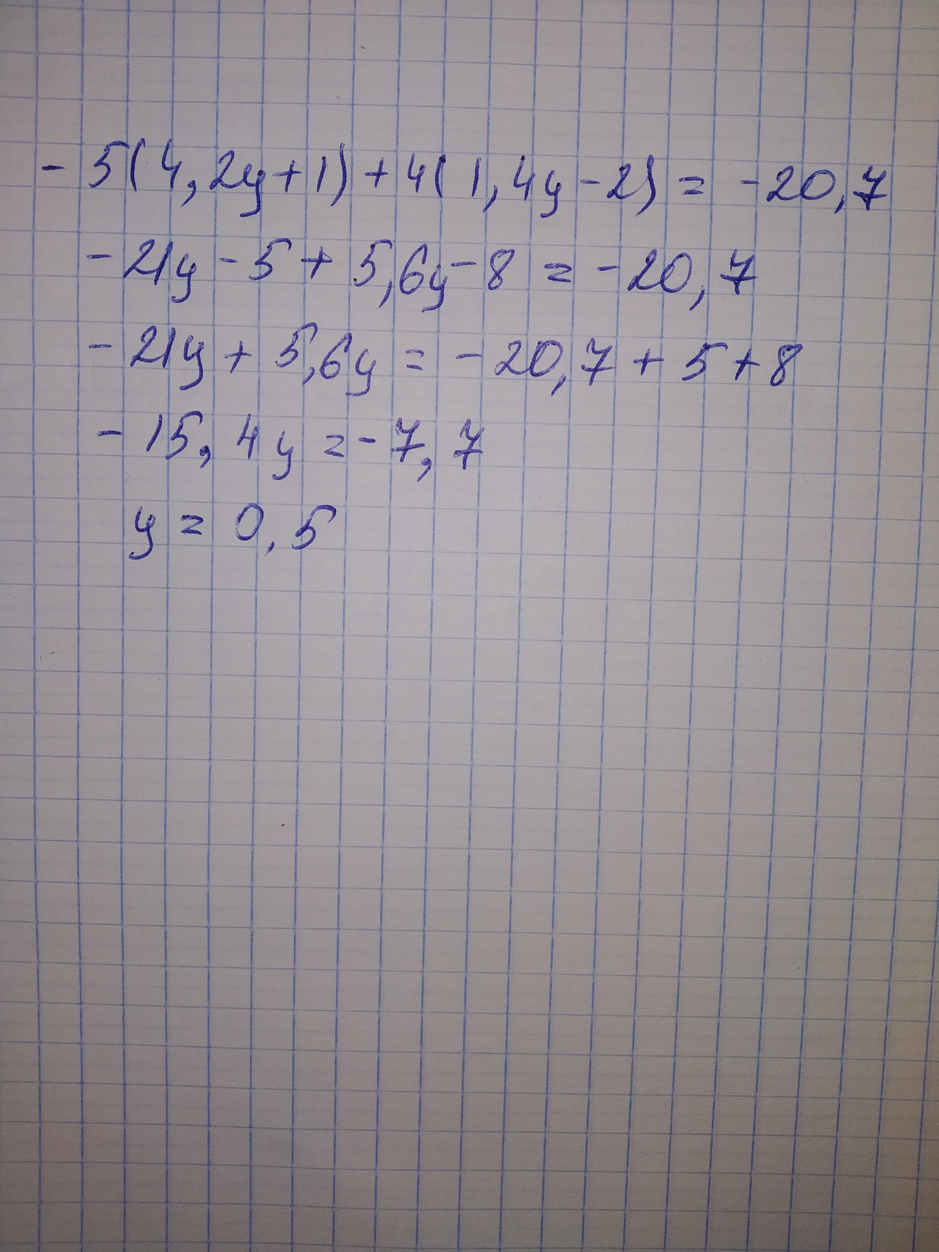
-5(4,2y+1)+4(1,4y-2)=-20,7

Ответы

Ответ дал: Metaxa2020
1

Ответ:

0.5

Пошаговое объяснение:

-21y-5+5.6y-8=-20.7

-15.4y-13=-20.7

-15.4y=-20.7+13

-15.4y=-7.7

y=0.5


Аноним: У меня тоже так получилось.
Ответ дал: agaevaleman14
0

Ответ и решение:

Удачи!

Думаю правильно)

Приложения:
Вас заинтересует