СРОЧНО! ПОМОГИТЕ ПОЖАЛУЙСТА
Решите систему уравнений методом подстановки:


Решите методом сложения:

Решите систему уравнений:

Аноним:
Тебе только ответ?
или расписать
ау
Только ответ
Ответы
Ответ дал:
1
Ответ:
Ответ в фотографиях
Объяснение:
Ответ в фотографиях
Приложения:
Ответ дал:
3
1)х=14+3у
8*(14+3у)-7у=61
112+24у-7у=61
17у=-51
у=-3
х=14-9; х=5
Ответ (5;-3)
2)у= 7х-19
2х-9(7х-19)=-12
2х-63х=-171-12
х=-183/(-61)=3; х=21-19=2
Ответ (2; 3)
3)-4х+3у=-32
7х-3у=47
3х=15; х=5; у=(-32+4*5)/3=-4
Ответ (5;-4)
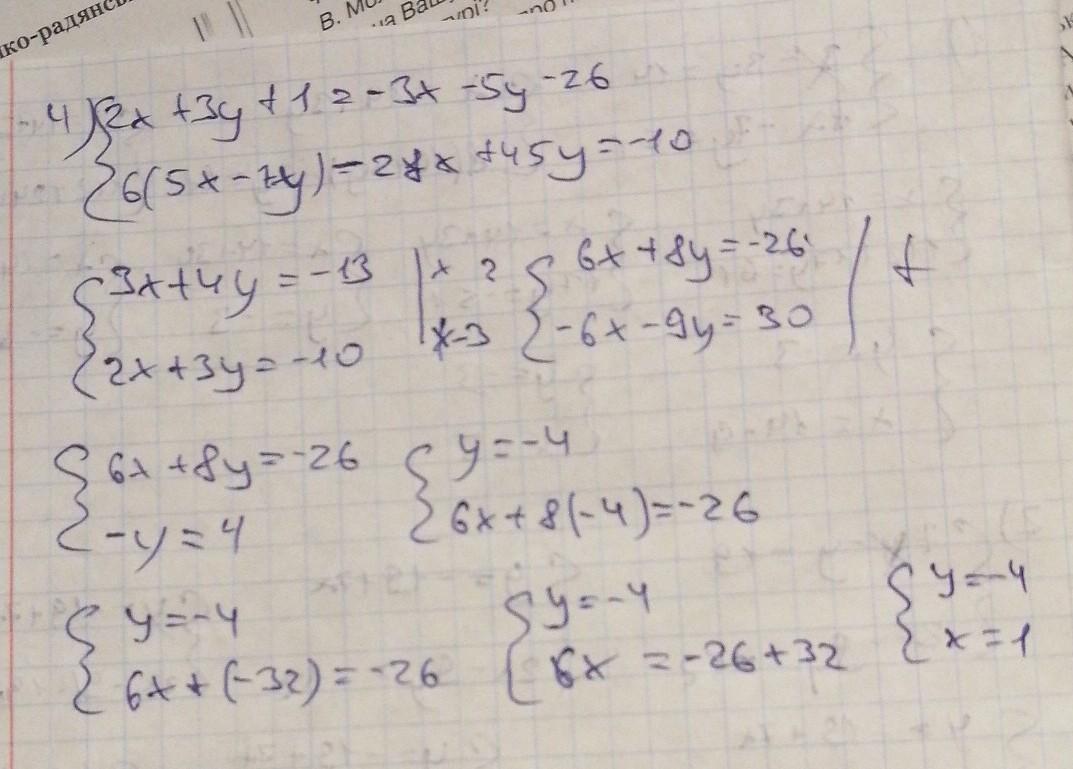
4) 5х+8у=-27
30х-42у-28х+45у=-10
_______________
5х+8у=-27
2х+3у=-10
____________
-10х-16у=54
10х+15у=-50
у=-4; х=1
Ответ (1;-4)
Вас заинтересует
2 года назад
9 лет назад