Ответы
Ответ дал:
1
найти область определения
Приложения:


Ответ дал:
0
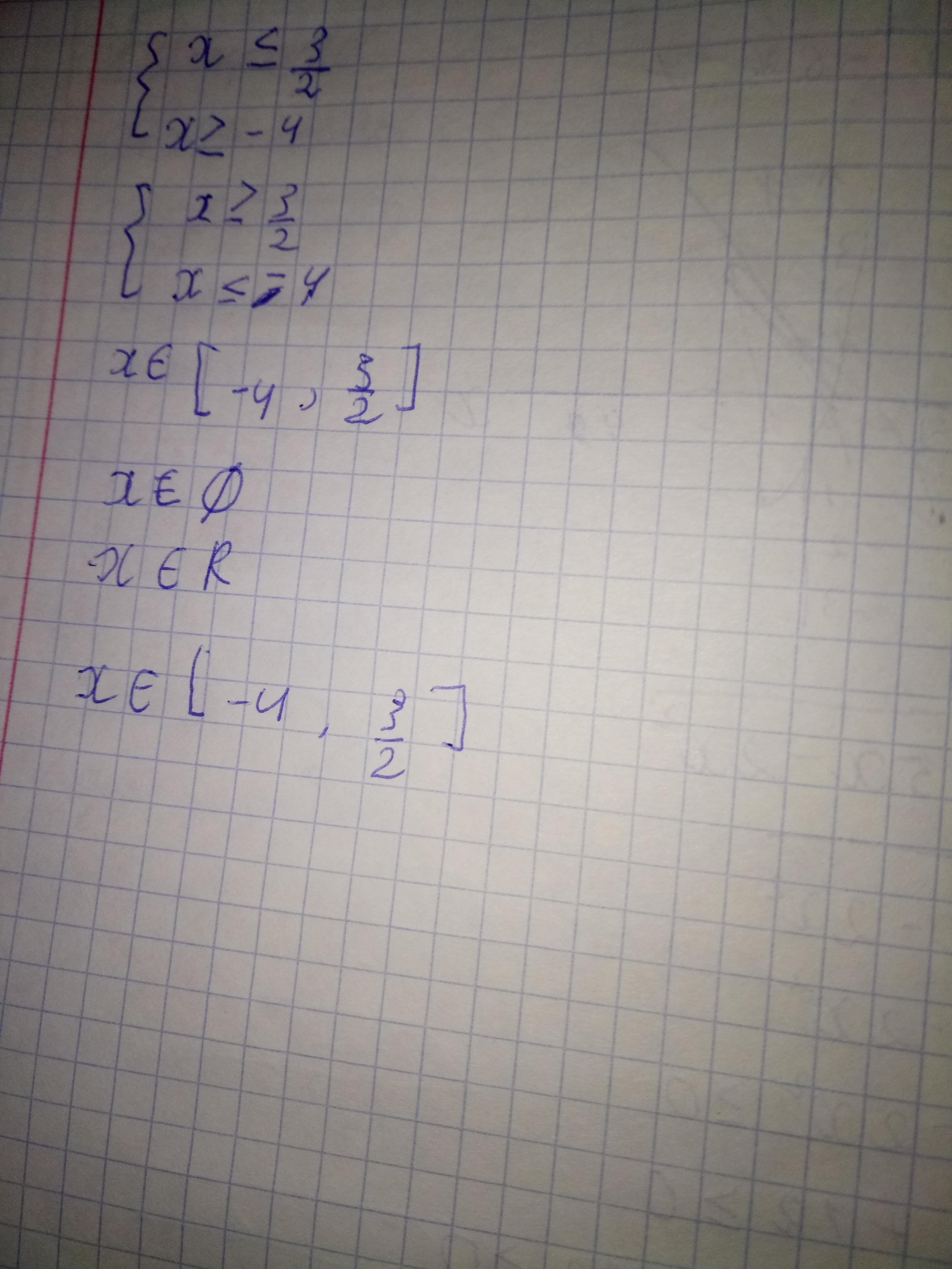
Ответ:
x∈]-∞;+1,5]
Объяснение:
y=√(12-5х-2x^2)
Область определения функции.
подкоренное выражение положительно:
12-5х-2x^2≥0;
-2x^2-5x+12≥0;
меняем все знаки на противоположные (для удобства работы)
2x^2+5x-12≤0;
D=25-(4*2*(-12))=25+96=121
x_12=1/4(-5±√121);
x_1=1,5; x_2=-4.
x≤1,5; x≤-4.
x∈]-∞;-4]∩]-∞;+1,5];
x∈]-∞;+1,5]
Вас заинтересует
1 год назад
1 год назад
1 год назад
1 год назад
3 года назад
3 года назад
8 лет назад