помогите решить(дам 35 баллов, желательно фото с ответом)
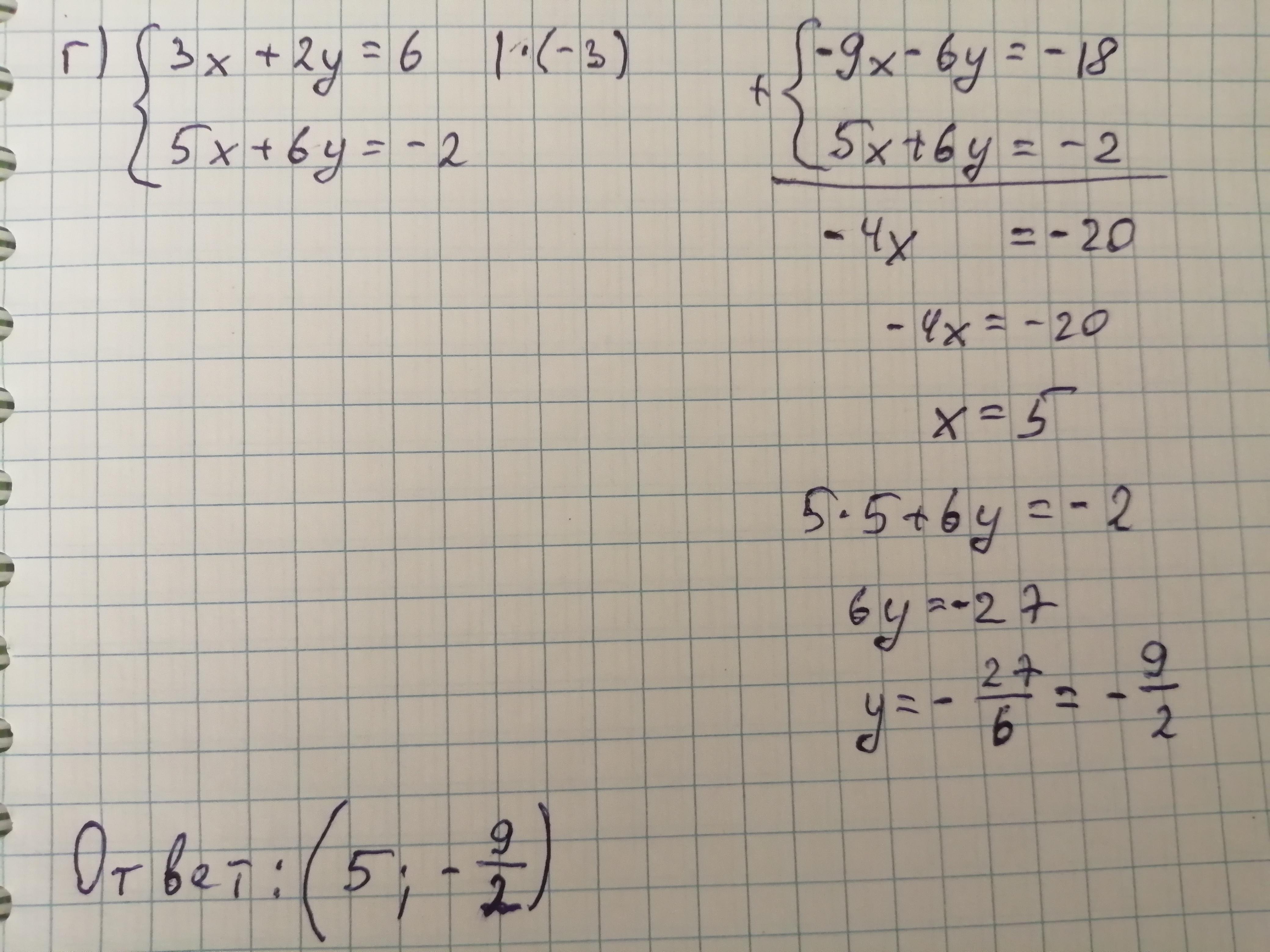
решить системы из прикрепленного файла методом сложения
Приложения:

Ответы
Ответ дал:
0
......................
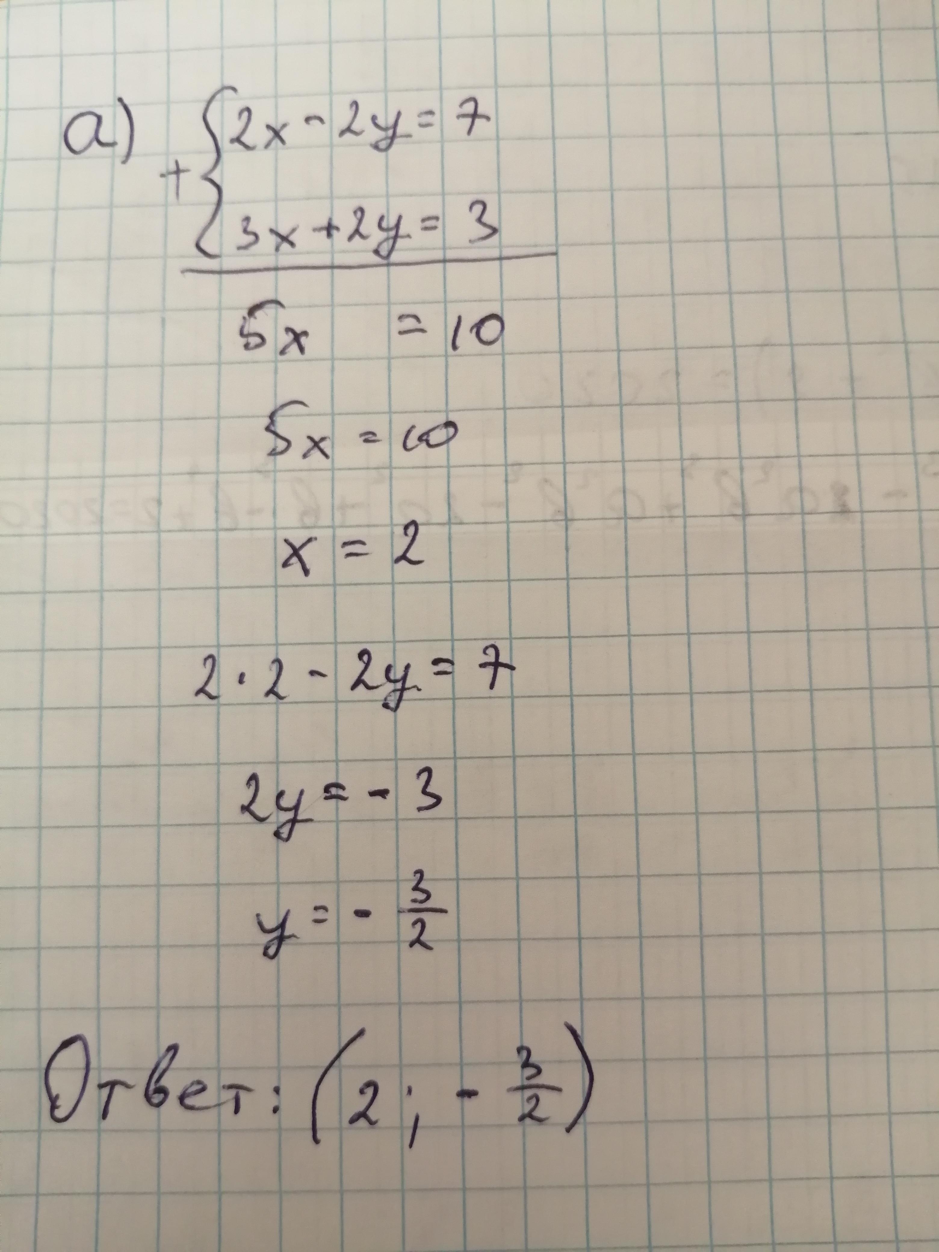
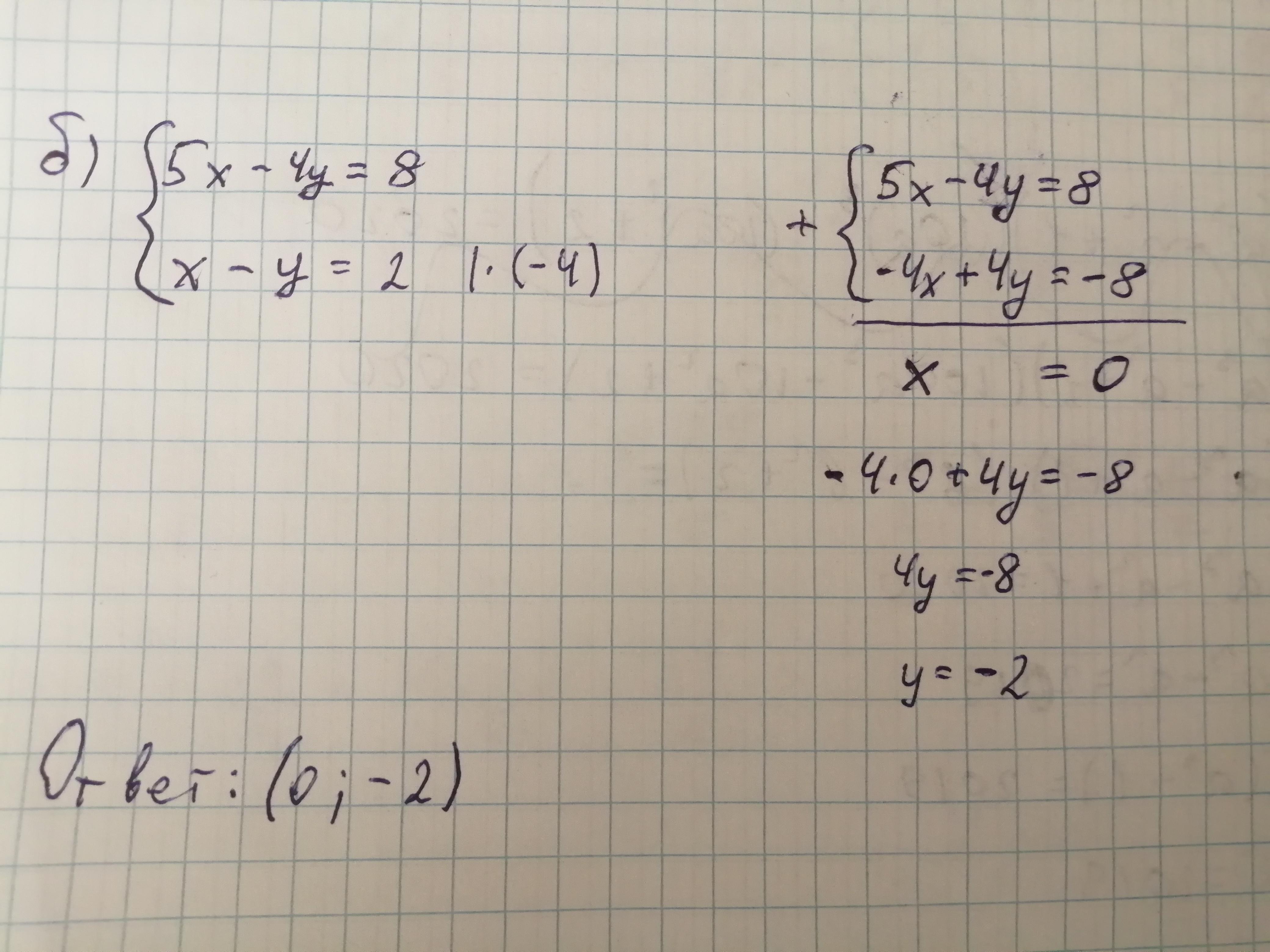
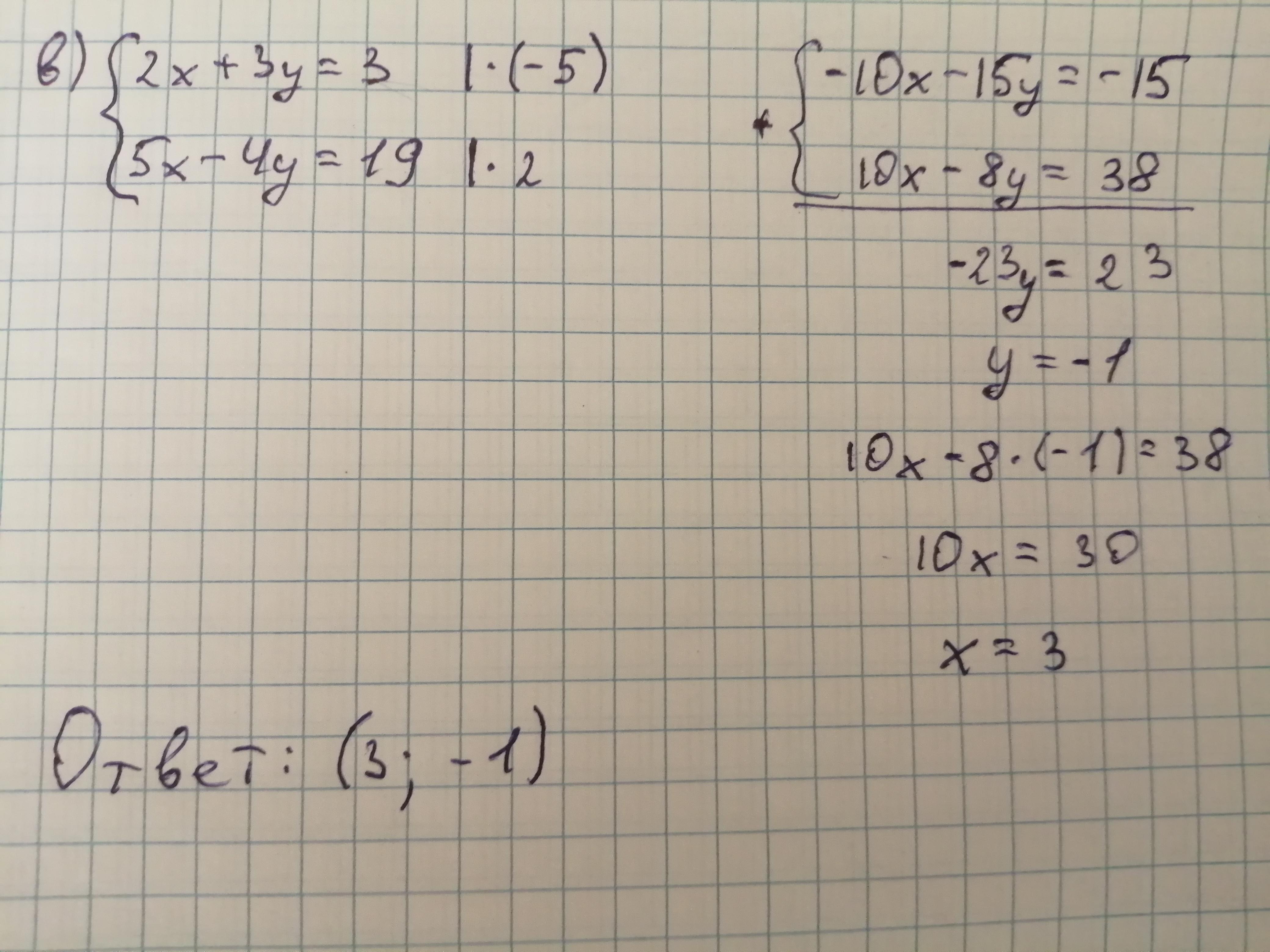
Приложения:




Вас заинтересует
1 год назад
1 год назад
1 год назад
1 год назад
8 лет назад
8 лет назад