• Предмет: Алгебра
  • Автор: Lisenok341
  • Вопрос задан 8 лет назад

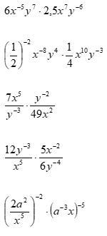
Применение свойств степени с целым показателем.
Решите пожалуйста даю 50 баллов

Приложения:

Ответы

Ответ дал: gohalox
0

Ответ:

1. 12y в степени 13 - 5x в степени 12

---------------------------------------------------

2x в степени 5 y в степени 6

2. x в степени 2 y в степени 7

3. x в степени 3 y

-------------------------

             7

4. 10y

--------------

x в степени 7

5. a в степени 11 x в степени 5

----------------------------------------------

                         4

Объяснение:

Вас заинтересует