• Предмет: Математика
  • Автор: Drag102
  • Вопрос задан 8 лет назад

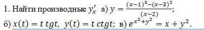
Найти производные только под буквами а) в)

Приложения:

Ответа на этот вопрос пока нет. Попробуйте найти его через форму поиска.

Вас заинтересует