• Предмет: Химия
  • Автор: Artem20000000000
  • Вопрос задан 8 лет назад

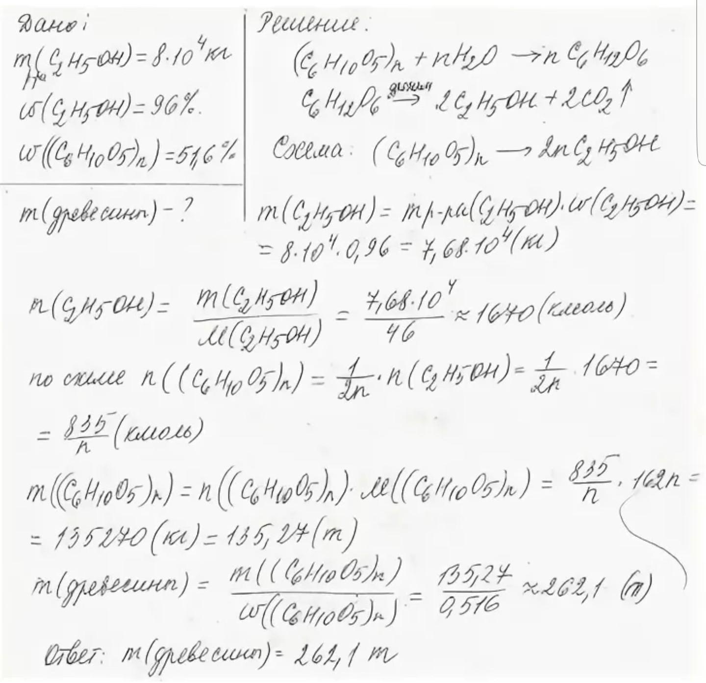
На гидролизному заводе в сутки из древесных отходов добыли этанол массой 80 т с массовой долей спирта 96%. Какую массу древесины использовали, если содержание

Ответы

Ответ дал: dyrachka65
0

Ответ:

На гидролизному заводе в сутки из древесных отходов добыли этанол массой 80 т с массовой долей спирта 96%. Какую массу древесины использовали, если содержание

Приложения:
Вас заинтересует