• Предмет: Химия
  • Автор: zadwornowasonechk
  • Вопрос задан 8 лет назад

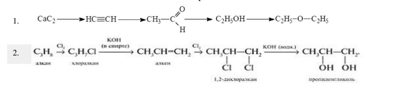
Помоги решить цепочку превращения

Приложения:

Ответа на этот вопрос пока нет. Попробуйте найти его через форму поиска.

Вас заинтересует