• Предмет: Алгебра
  • Автор: vlasovaalina200
  • Вопрос задан 2 года назад

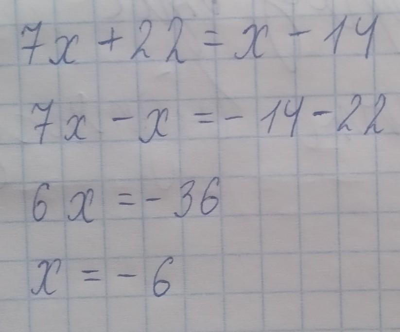
7x+22=x-14..........

Ответы

Ответ дал: jacunjakvladv84
0

Ответ:

7х-х=-14-22

6х=36

х=6

Объяснение:


vlasovaalina200: Danke
Ответ дал: oleeesya6
0

решение во вложении

удачи)

Приложения:

jacunjakvladv84: ой минус забил
Вас заинтересует