Ответы
                                            Ответ дал: 
                                                                                    
                                        
                                            
                                                
                                                
                                                
                                                    0
                                                
                                            
                                        
                                    Ответ:
Пошаговое объяснение:
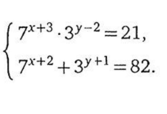
343*7^x*1/9*3^y=21, 49/9*7^x*3^y=3, 49*7^x*3^y=27 -1-е уравнение,
49*7^x+3*3^y=82 -2е уравнение и сделать замену, 7^x=a, 3^y=b
получим систему : 49a*b=27 и 49a+3b=82, a=27/ 49b и подставить во 2-е уравнение и т.д.
Вас заинтересует
                
                        1 год назад
                    
                
                        1 год назад
                    
                
                        1 год назад
                    
                
                        8 лет назад
                    
                
                        8 лет назад
                    
                