• Предмет: Математика
  • Автор: kardima618
  • Вопрос задан 2 года назад

по пределам плиз помогите сделать ​

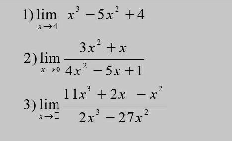
Приложения:

Ответы

Ответ дал: MrSolution
1

Ответ:

-12, 0

Пошаговое объяснение:

\lim\limits_{x\to 4} x^3-5x^2+4=4^3-5\times4^2+4=-12\\\lim\limits_{x\to0}\dfrac{3x^2+x}{4x^2-5x+1}=\dfrac{0}{0-0+1}=\dfrac{0}{1}=0


kardima618: в 3 надо самому вставить
Вас заинтересует