• Предмет: Алгебра
  • Автор: cevepob267
  • Вопрос задан 2 года назад

Решите системы уравнений по способу подстановки

Приложения:

Ответы

Ответ дал: miron2077
0

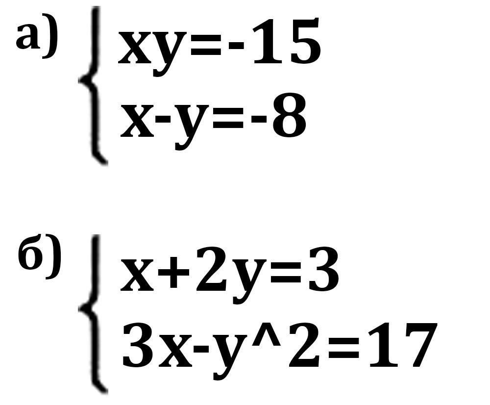
ху=-15

х-у=-8

из второго х=у-8

у(у-8)=-15

у²-8у=-15

у²-8у+15=0       D=64-60=2²

у₁=(8+2)/2=5          у₂=(8-2)/2=3

х₁=5-8=-3               х₂=3-8=-5

(-3;5)       (-5;3)

х+2у=3

3х-у²=17

из первого        х=3-2у

3(3-2у)-у²=17

9-6у-у²=17

у²+6у+8=0        D=36-32=4=2²

у₁=(-6+2)/2=-2            у₂=(-6-2)/2=-4

х₁=3-2*(-2)=7               х₂=3-2*(-4)=11

(7;-2)                           (11;-4)

Вас заинтересует