• Предмет: Алгебра
  • Автор: Mrclaus228
  • Вопрос задан 2 года назад

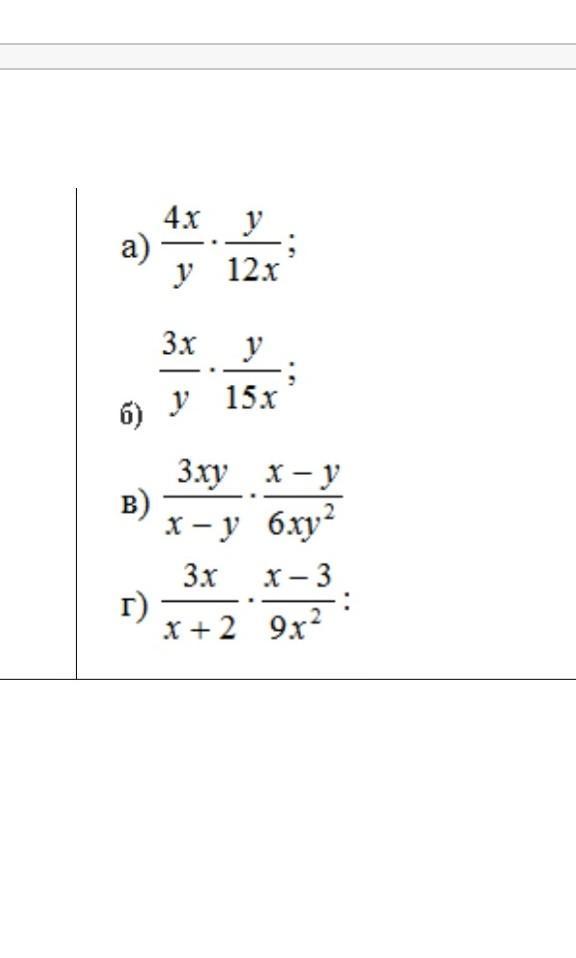
Алгебра 7класс (дроби) ​

Приложения:

Ответы

Ответ дал: skitel13
2

Ответ:

а) 1/3

б) 1/5

в) 1/2y

г) x-3/3x²+6x

Объяснение:

Вас заинтересует