• Предмет: Алгебра
  • Автор: Whiteronis
  • Вопрос задан 2 года назад

Решите линейные уравнения

Приложения:

Ответы

Ответ дал: Zombynella
2

Ответ:

1)Решение системы уравнений  х= -0,8

                                                        у=0,5

2)Решение системы уравнений  х= 6,4

                                                         у= 8

3)Решение системы уравнений  х= -3,2

                                                         у= -7,8            

Объяснение:

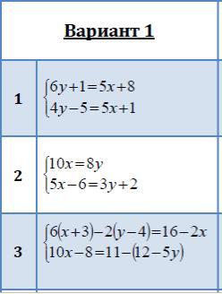
1)6у+1=5х+8

 4у-5=5х+1

6у-5х=7

4у-5х=6

Решим методом алгебраического сложения.

Смысл метода алгебраического сложения в том, чтобы при сложении уравнений одно неизвестное взаимно уничтожилось. То есть, чтобы коэффициенты при неизвестном каком-то были одинаковыми, но с противоположными знаками. Для того, чтобы этого добиться, преобразовывают уравнения, можно умножать обе части уравнения на одно и то же число, делить.

В данной системе нужно одно из уравнений умножить на -1:

-6у+5х= -7

4у-5х=6

Складываем уравнения:

-6у+4у+5х-5х= -7+6

-2у= -1

у= -1/-2

у=0,5

Теперь подставляем значение у в любое из двух уравнений системы и вычисляем х:

4у-5х=6

-5х=6-4у

-5х=6-4*0,5

-5х=4

х=4/-5

х= -0,8

Решение системы уравнений  х= -0,8

                                                      у=0,5  

2)10х=8у

5х-6=3у+2

10х=8у

5х-3у=8      

Выразим х через у в первом уравнении, подставим выражение во второе уравнение и вычислим у:

х=8у/10=0,8у     метод подстановки

5*0,8у-3у=8

4у-3у=8

у=8

х=0,8у

х=0,8*8

х=6,4

Решение системы уравнений  х= 6,4

                                                      у= 8

3)6(х+3)-2(у-4)=16-2х

10х-8=11-(12-5у)

Раскроем скобки:

6х+18-2у+8=16-2х

10х-8=11-12+5у

Приведём подобные члены:

6х+2х-2у=16-26     ⇒       8х-2у= -10

10х-5у= -1+8            ⇒      10х-5у=7

Разделим первое уравнение на 2 для удобства вычислений:

4х-у= -5  

10х-5у=7

Выразим у через х в первом уравнении, подставим выражение во второе уравнение и вычислим х:  

-у= -5-4х

у=5+4х     метод подстановки

10х-5(5+4х)=7

10х-25-20х=7

-10х=7+25

-10х=32

х=32/-10

х= -3,2

у=5+4х

у=5+4*(-3,2)

у=5-12,8

у= -7,8  

Решение системы уравнений  х= -3,2

                                                      у= -7,8    

Вас заинтересует