• Предмет: Математика
  • Автор: gamalutsumiev
  • Вопрос задан 2 года назад

пожалуйста побыстрее​

Приложения:

Ответы

Ответ дал: Romashkina555
0

Ответ:

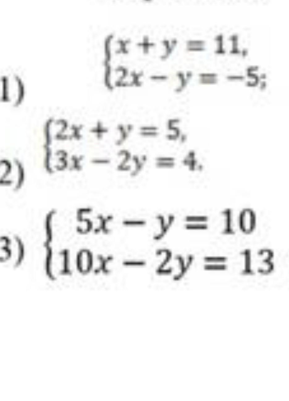
1)х=2; у=9

2)х=2; у=1

3) система не имеет решений

Пошаговое объяснение:

1) Складываем первое уравнение со вторым: 3х=6, х=2, соответственно у=9

2)Умножаем всё первое уравнение на 2, получаем 4х+2у=10, затем складываем первое уравнение со вторым: 7х=14, х=2; у=1

3)Умножаем всё первое уравнение на 2, получаем 10х-2у=20, второе уравнение соответственно 10х-2у=13, 20 не равно 13, следовательно система не имеет решений

Вас заинтересует