• Предмет: Математика
  • Автор: Аноним
  • Вопрос задан 2 года назад

решите всё даю 50 баллов

Приложения:

KarimBro777: а почему вы решили со мной дружить?
где вы меня нашли?
Аноним: эммммммммм просто так
KarimBro777: ну ок....
Аноним: Для Cane2. В №17 х=-18, а таблице минус забыла((
Аноним: ...в таблице*

Ответы

Ответ дал: Аноним
2

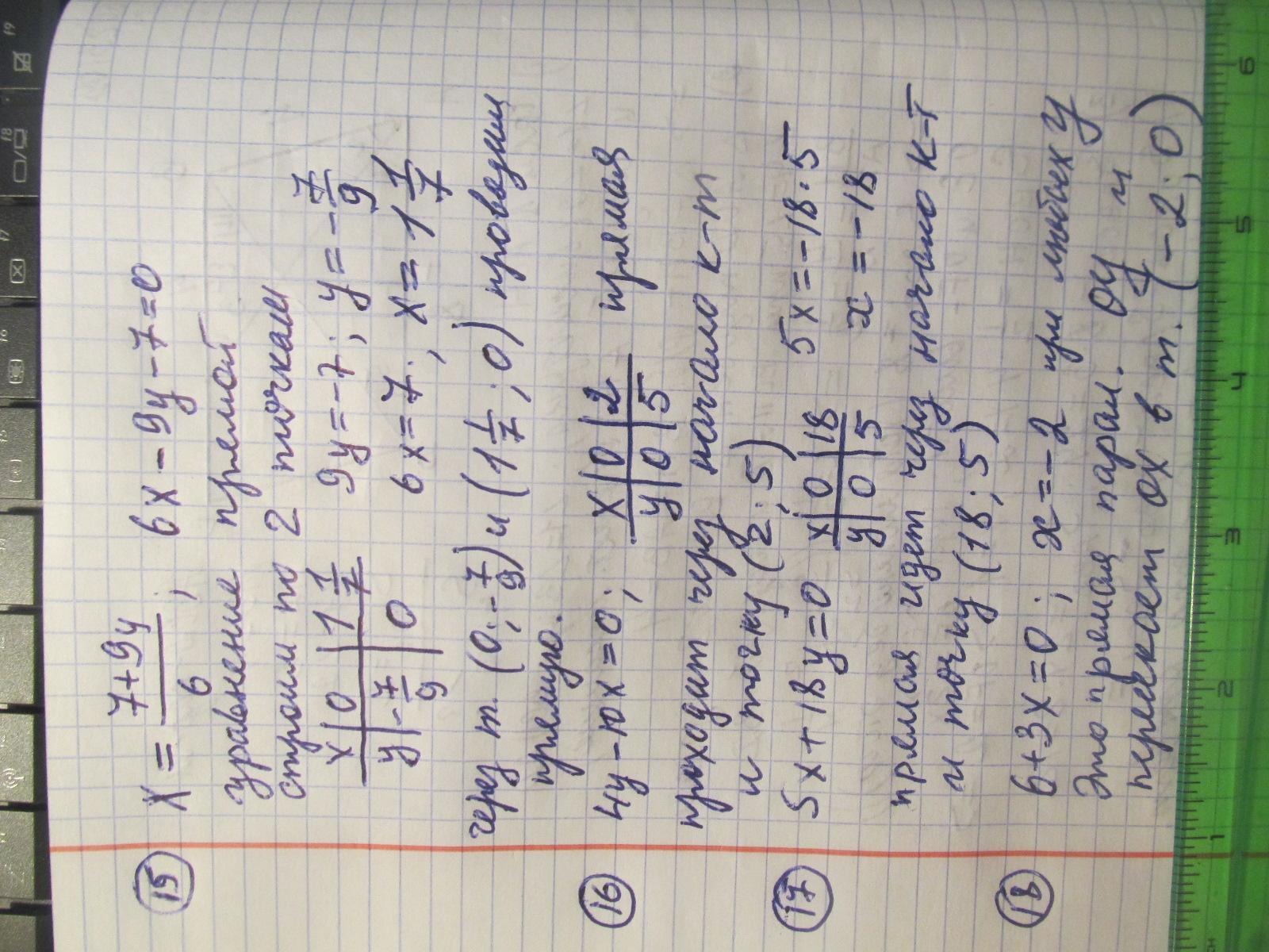
Решение смотрите во вложении

Приложения:

Аноним: а вы не добавили решение
Аноним: добавил.
Аноним: обновите страницу.
Аноним: всё я увидела спасибо большое вам за помощь
Ответ дал: Аноним
1

Решение на фото//////

Приложения:

Аноним: Через полученные координаты 2-х точек проведем прямую.
Аноним: спасибо вам больше
Аноним: извините большое
Аноним: видимо. потому что не приводили к уравнению вида у =кх+в и не была выполнена часть задания. т.е. не указаны угловые коэффициенты. это раз. И второе, проще всего, именно с помощью этого уравнения увидеть этот самый коэффициент. хотя это не панацея.)
Аноним: и третье. вам пришлось решать уравнения всякий раз, когда вы подставляли точки. не проще ли было все же выразить х через у или у через х?) Сокращая свое время решения.
Аноним: вы говорите про моё задание которое я задала?
Аноним: Нет, это мне. Вы знаете, я люблю всегда переходить от уравнения к функции. Там видно, что творится. Я на ноуте. Бесконечно увеличивать не могу. Еле рассмотрела условие. Даны оси, значит надо строить. Коэффициенты ужасные. Вы правы. В правом уголке к= . Я и не заметила(((( Остальное, как кто привык. Время уходило на то, чтобы подобрать целые координаты. В №15 не придумала...
Аноним: неплохо было бы.. и к графикам перейти), строить надо, но Вы почему-то не построили. Или не прав?
Аноним: Я писала для человека, который умеет найти точки по данным координатам. В 16 и 17, где одна - начало координат, фактически по одной. В 18 вообще параллель провести)) Жаль, что не могу Вам написать в ЛС. Я давно Вас заметила, 2 недели назад была модератором 4 года и придираться было моей работой)) Я вела физику, но + 20 лет работала репетитором математики и физики. Это к тому, что не полная д у ра. Математиком себя не считаю. Для этого надо лет 10 ее вести))))) Всего хорошего)
Аноним: Для Сане2. В №17 х=-18, а в таблице минус забыла((
Вас заинтересует