Ответы
Ответ дал:
0
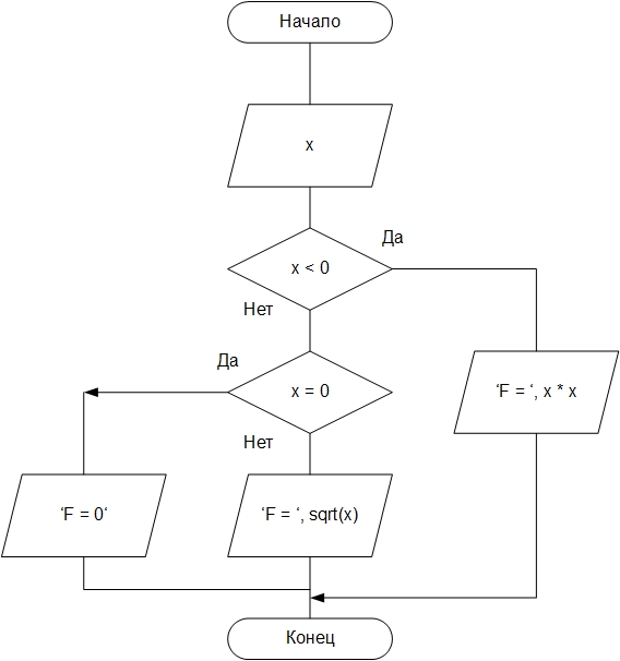
program znanija_com;
var
temp : real;
begin
writeln('В ведите Х');
readln(temp);
if temp < 0 then writeln('F = ', temp * temp)
else
if temp = 0 then writeln('F = 0')
else writeln('F = ', sqrt(temp));
readln();
end.
var
temp : real;
begin
writeln('В ведите Х');
readln(temp);
if temp < 0 then writeln('F = ', temp * temp)
else
if temp = 0 then writeln('F = 0')
else writeln('F = ', sqrt(temp));
readln();
end.
Приложения:

Вас заинтересует
2 года назад
8 лет назад
8 лет назад
10 лет назад
10 лет назад