• Предмет: Алгебра
  • Автор: gogoldiana06
  • Вопрос задан 2 года назад

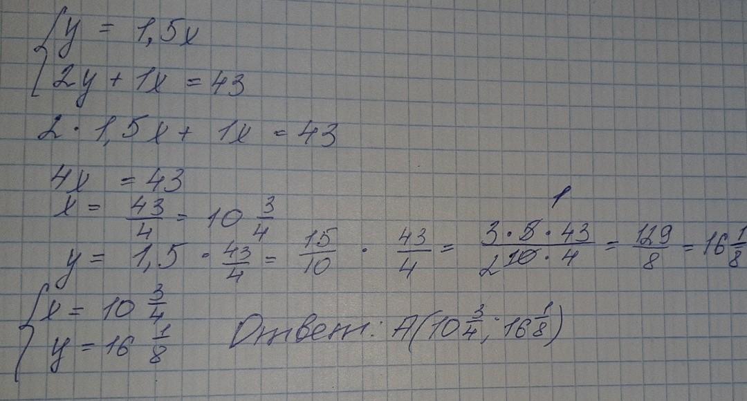
найдите точку пересечения графиков, заданных формулами y=1.5x и 2y+1x =43, без построения​

Ответы

Ответ дал: nastenadmitr20
1

решение через систему)

Приложения:
Вас заинтересует