• Предмет: Математика
  • Автор: JLIC
  • Вопрос задан 2 года назад

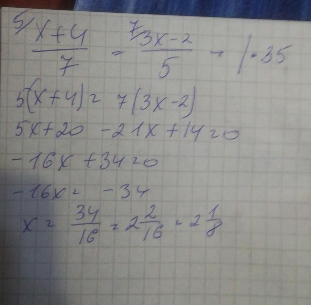
х+4 3х-2

___ = ___

7 тут знаменятели 5

решите по действиям пж


alesyaperova: что то не пойму что написано

Ответы

Ответ дал: alesyaperova
0

Ответ:

Решение на фото.............

Приложения:

JLIC: сложно я не понимаю а надо объяснить
Вас заинтересует